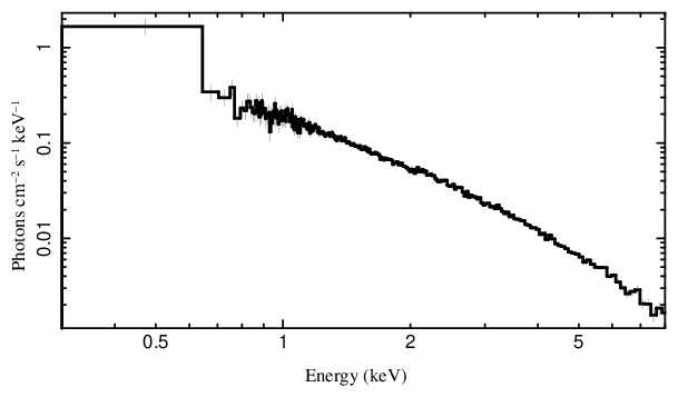
VV report for obsid 31733 - Mrk 421

Review Status: good
Comments: Note: big-dither calibration observation, scans spectrum over a large area of the detector, so response will depend on time/position.